インフルエンザワクチンのズレ
まとめ:変異しやすいインフルエンザウイルスに対するワクチン接種は、接種株と流行株がズレるリスクがあります。
埼玉県の詳細なデータで新型コロナウイルスの変異の様子が見て取れます。(国立医療保健科学院)

変異株の変遷は、ヒトがそれまでに持つ免疫が通用しなくなったことを繰り返しているを意味します。
新型コロナウイルスもインフルエンザウイルスも同じRNAウイルスに属しますが、RNAウイルスはDNAウイルスに比べて約1000倍変異しやすいため、流行株の変遷を繰り返します。これが旧ワクチンが無効となり、ワクチン接種が毎回推奨される理由でもあります。
インフルエンザウイルスは、新型コロナよりもさらに変異しやすいことが知られています。
インフルエンザAウイルスの突然変異率は、SARS-CoV-2 RdRp複合体の校正活性(RNAコピーの修復機能)により、SARS-CoV-2の変異率よりも23.9倍高かった。(2023, Kawasaki)
抗原原罪(Original Antigenic Sin)とは、「初めて遭遇したウイルス変異株に対する免疫記憶が、その後の変化株に対する免疫応答を“偏らせて”しまう」ことです。これが、ワクチンをあらかじめ接種したが、接種株と流行株によるズレによって、免疫応答に問題が生じる大きな原因と考えられています。
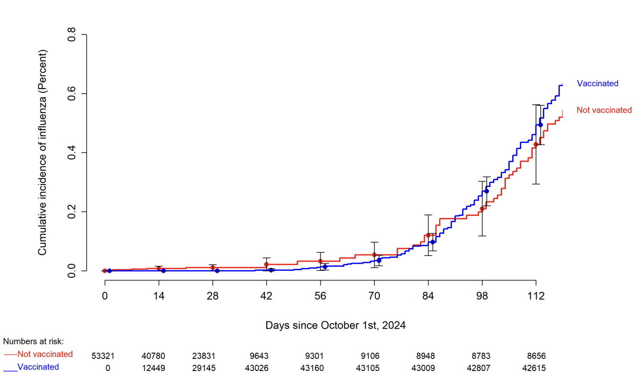
接種株と流行株とのズレで生じる抗原原罪などの現象によって、インフルエンザワクチン接種が逆効果になる場合もあります。(2025, Nabin)(2017, Jackson)

新型コロナワクチン接種でも、同様の逆効果のため、ワクチンの接種によって感染率・死亡率が高くなると考えられます。(新型コロナワクチンの危険性)世界131カ国のワクチン接種率と感染率・死亡率の関係。


